高级搜索
|
会员中心
|
我要投稿
|
RSS
首页
新闻资讯
全部吉他谱
热门吉他谱
歌曲简谱
猜你喜欢
标签
您当前的位置:
首页
>
吉他谱
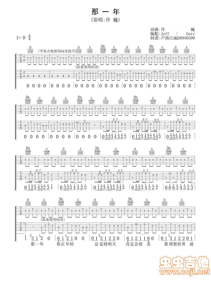
那一年吉他谱
C
调
|
2
页
|
许巍
|
发布时间:2022-01-13 15:47:01
|
阅读:(
)
本站曲谱部分来源于网络,仅供学习交流分享,本网站不承担任何由于内容的使用所引起的争议及损失。如有侵权,可联系管理员删除处理。本文链接:http://www.ggjita.com/jitapu/111.html
发表评论
用户名:
密码:
验证码:
匿名发表
点赞,顶一下
站内搜索:
高级搜索
猜你喜欢
[03-16]
专属天使吉他谱
[06-23]
我们能不能不分手 Ver4吉他谱
[06-23]
我等你吉他谱
[12-22]
七里香吉他谱_C调简单版_周杰伦_吉他入
[03-16]
披着羊皮的狼 高清吉他谱
[02-10]
星雨心愿吉他谱
[02-23]
你最近还好吗(吉他谱)
[02-23]
独角戏 (许茹芸 )吉他谱
[01-18]
成全吉他谱
[02-10]
Yesterday Once More昨日重现吉他谱
[03-13]
汪峰《春天里》吉他谱 C调指法 高清图
[02-21]
怀念青春吉他谱_刘刚(旭日阳刚)_G调入
随机推荐
故事书(游鸿
山路十八弯吉
风吹麦浪 手
如果·爱吉他
不分手的恋爱
他来听我的演
紫雨吉他谱
寂寞沙洲冷吉
似水流年 简
梦中女孩(侯玉
眼泪吉他谱
赤伶吉他谱_H
最新发表
热门曲谱